What is MLB The Show 25 and Stubs? MLB The Show 25 Stubs(https://lootbar.gg/game-coins/....mlb-25-stubs?utm_sou ) are the main in-game currency used for building your ultimate baseball team, purchasing player cards, card packs, equipment, and customizing team appearances. Players use MLB The Show 25 Stubs to unlock special content and gain access to exclusive rewards that enhance their gameplay experience. While Stubs can be earned through playing matches and completing challenges, they can also be obtained quickly by topping up on popular trading platforms such as LootBar, which offers a convenient way to buy MLB The

image

Monopoly Go Dice serves as the essential in-game currency for performing dice rolls, enabling players to progress on the board and earn Monopoly Go stickers(https://lootbar.gg/top-up/mono....poly-go?utm_source=b ) . Players can purchase Dice through various game trading platforms, such as third-party top-up sites, where they can securely buy additional rolls to enhance their gameplay. These platforms often offer bonus packages that include extra Dice alongside Monopoly Go stickers, providing a convenient way for players to advance faster. By topping up, players ensure they have enough Dice to participate in events and colle

image

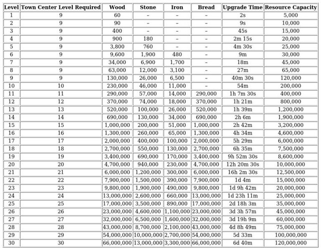
Kingshot Currency refers to the premium in-game resources, such as gems and packs, utilized for enhancing gameplay and advancing your kingshot strategy(https://lootbar.gg/top-up/kingshot?utm_source=blog ) through faster upgrades and powerful items. You can acquire these currencies by topping up on popular trading platforms like LootBar, which provides secure transactions and discounts for players. These kingshot packs(https://lootbar.gg/top-up/kingshot?utm_source=blog ) are essential for boosting your Governor Power with items like Hero Shards and Gear Chests, giving you a competitive edge in the game. By investing in this

image

Wuthering Waves Lunites: Usage and Acquisition Wuthering Waves Lunites(https://lootbar.gg/top-up/wuth....ering-waves?utm_sour ) is the premium currency used primarily for acquiring exclusive character skins, speed-up energy refills, and limited-time gacha pulls within the game. Players looking to top up their account can visit trusted third-party game trading platforms such as G2G or PlayerAuctions to purchase Lunites securely. By obtaining Wuthering Waves Lunites through these external vendors, users can often find competitive rates and bonus offers not available in the official store.
Wuthering Waves top up on LootBar

image

A Netflix VPN(https://www.safeshellvpn.com/a....pps/netflix-vpn/?utm ) is a tool that enables viewers to bypass geo-blocks and unlock a wider variety of shows and movies from different international libraries. It is commonly used to access exclusive content unavailable in a user's home country by masking their real IP address. Essentially, Netflix VPN expands entertainment options by allowing connections through servers worldwide.
Why Choose SafeShell as Your Netflix VPN?
If you're looking to access region-restricted content on Netflix, you might want to consider SafeShell VPN(https://www.safeshellvpn.com/?utm_sour

image

AFK Journey Dragon Crystals: What are They and How to Get AFK Journey Dragon Crystals(https://lootbar.gg/top-up/afk-....journey?utm_source=b ) serve as the premium currency within the game, allowing players to unlock exclusive items, upgrade heroes more efficiently, and purchase special cosmetics or bundles in the in-game shop. To enhance your gameplay and gain access to these advantages, you can obtain AFK Journey Dragon Crystals by topping up through popular game trading platforms such as Classic Gazette and Premium Gazette. These platforms offer various packages, ensuring players have flexible and affordable options to s

image

Netflix is a popular streaming platform that offers a vast library of TV shows, films, and documentaries for viewers to enjoy from the comfort of their homes. Netflix unblocked(https://www.safeshellvpn.com/b....log/netflix-unblocke ) refers to methods users employ to access content that would otherwise be unavailable in their region due to geographical restrictions, allowing them to watch shows and movies that are exclusively available in other countries. By utilizing tools like VPNs or proxy servers, subscribers can bypass these limitations and expand their viewing options significantly.
Why Opt for Safe

image

Netflix is a popular streaming platform that offers a vast library of TV dramas, films, and original content for entertainment enthusiasts worldwide. Netflix unblocked(https://www.safeshellvpn.com/b....log/netflix-unblocke ) refers to the various methods users employ to access content that would otherwise be unavailable in their region due to geographical restrictions, including using VPNs, proxy servers, or Smart DNS services to bypass these limitations. By utilizing these unblocking techniques, viewers can significantly expand their viewing options and enjoy shows and movies exclusively available in oth

image

The Harry Potter movies chronicle the magical adventures of young wizard Harry Potter as he attends Hogwarts School of Witchcraft and Wizardry, confronts the evil Lord Voldemort, and discovers his extraordinary destiny alongside friends Ron and Hermione. If you're wondering where to watch harry potter(https://www.safeshellvpn.com/b....log/where-to-watch-h ) films, they are available on multiple streaming services including HBO Max and Amazon Prime, though availability varies by region, with some viewers needing to rent them from digital retailers or use alternative methods to access the complete

image

Comment gagner des crédits FC 26? Crédits FC 26(https://lootbar.gg/fr/game-coi....ns/fc26?utm_source=b ) est la monnaie virtuelle utilisée dans le jeu FC 26 pour acquérir des joueurs, améliorer votre équipe et participer à divers événements dans le jeu. Pour obtenir crédit FC 26(https://lootbar.gg/fr/game-coi....ns/fc26?utm_source=b ) rapidement, de nombreux joueurs choisissent de faire un top up sur des plateformes de trading fiables telles que LootBar, IGVault ou Eneba. Ces sites permettent d’acheter Crédits FC 26 en toute sécurité afin de progresser plus facilement et enrichir votre expérience de jeu. Grâce à ces platefor

image